近日,北京化工大学王晓慧团队的研究成果《Metagenomic insights into the symbiotic relationship in anammox consortia at reduced temperature》在Water Research上发表。Anammox作为一种很有前景的生物脱氮技术,受到广泛关注。然而,低温会限制其应用,关于厌氧氨氧化菌(AnAOB)和异养菌在低温下的相互作用关系知之甚少。本研究构建了实验室规模的梯度降温(30-5℃)Anammox系统,首次实现了Anammox系统在5℃低温下的稳定运行,NRR维持在2.10kgN/m3d附近。利用分子生态网络分析(MENA)阐明了降温过程整体网络尤其是AnAOB与伴生菌间相互作用关系的变化规律,21个关键物种中的17个都是异养菌,表明异养菌在维持生态网络结构稳定中的重要作用。基于宏基因组技术获取了23个群落中的功能物种基因组(MAGs),揭示了低温胁迫下AnAOB与伴生菌之间的氮代谢互养,碳代谢互养,EPS代谢互养,以及二次代谢产物的代谢互养关系。上述菌群间的互养关系维持了低温胁迫下Anammox反应器性能的稳定,并强调了异养生物在低温胁迫下Anammox系统中的重要性。
Anammox作为一种高效、节能的生物脱氮技术,已经在很多人工水处理构筑物,例如污水处理厂、人工湿地等中检测到该技术的脱氮贡献。目前的研究表明,当温度低于25℃时Anammox系统性能受到抑制;低温下颗粒污泥特性、微生物群落结构发生改变,会对系统产生可逆的负面影响。实际废水水温,尤其是北方城市污水处理厂通常低于25℃,秋冬时水温更低,因此研究低温对Anammox技术的影响对于拓宽Anammox技术的应用范围至关重要。
以往研究仅针对低温时Anammox系统性能和群落结构进行表征,对于群落的形成机制关注较少;此外,系统脱氮功能的实现并不是仅靠AnAOB就能完成,而是需要各种微生物的共同作用,但对于低温胁迫下微生物间的相互作用关系研究较少。探究AnAOB与伴生菌的相互作用关系与系统性能间的内在联系,以期深入理解低温胁迫下Anammox系统性能变化的机理,为提升低温含氮废水的脱氮效果提供科学的理论依据。
系统性能与污泥特性
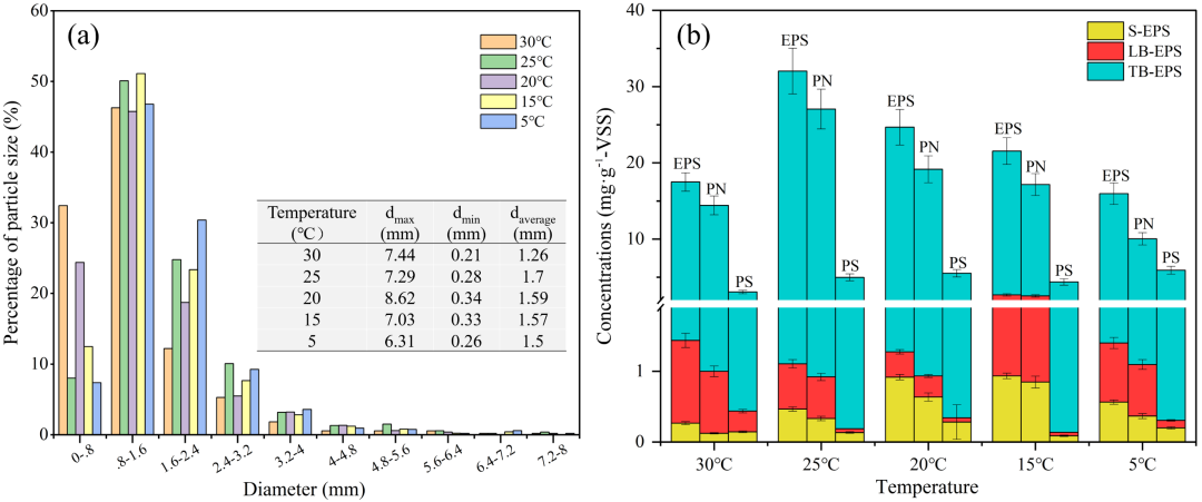
本研究通过梯度降温的驯化方式首次实现了Anammox系统在5℃下的稳定运行,系统性能良好,NRR维持在2.10 kg N/m3 d附近。颗粒污泥平均粒径由30℃时的1.26 mm升至25-5℃时的1.50-1.70 mm,低温促进了颗粒团聚。EPS含量在25℃时达到峰值32.03 mg·g−1-VSS,主要成分PN波动范围较大,表明PN的分泌是Anammox菌群应对低温胁迫的潜在策略。

图1. (a) 粒径分布;(b) EPS浓度
群落组装机制
梯度降温过程,尤其是25-20℃提升了Anammox系统微生物群落的丰富度和多样性。本研究基于系统发育分箱的零模型定量推断群落组装机制(iCAMP)进而分析各种生态过程在调控微生物群落多样性和演替过程中的相对重要性。随机性生态过程的占比由30℃下的61.51%降至25℃下的42.57%,又随温度降低略微升至49.00%-50.38%。表明降温过程明显提升了确定性生态过程在群落组装中的重要作用。

图2. 基于iCAMP的群落组装过程
微生物群落分子生态网络
AnAOB(Candidatus_Kuenenia,Candidatus_Brocadia和SM1A02)子网络如图3所示,低温促进了AnAOB与其它物种的联系,尤其是25-15℃的低温促进了AnAOB与异养菌的合作,而5℃会抑制这种合作关系。这些合作关系可能是Anammox系统能够抵抗低温胁迫维持系统性能稳定的主要原因。

图3. AnAOB子网络
微生物群落代谢网络
降温过程共获取23个MAGs,基于MAGs构建了Anammox菌群生态模型(图4)。其中,ACD1含有最多的糖基转移酶和转运蛋白,可以同AMX1协作合成EPS的主要成分PS;AMX1可以合成大多数疏水氨基酸以及高成本氨基酸,进而提供给异养菌供其生命代谢活动;同时Bacteroidota,Chloroflexota和Proteobacteria中的特定物种可向AMX1提供THF,MOCO,CoA和CoR等辅因子以协助其生存;此外也发现了Patescibacteria与AnAOB以及异养菌间关于有机化合物(甘油醛-3P和乳酸)的互养关系;并且发现了与氮代谢相关的亚硝氮循环(nitrite loop)和氨氮循环(ammonia loop)。

图4. 厌氧氨氧化菌群中的生态模型
本研究通过构建梯度降温过程的微生物生态网络,揭示了低温胁迫下Anammox菌群中潜在的相互作用关系,并通过宏基因组学技术结合binning分析重构了群落中AnAOB与伴生菌之间的代谢互养关系,为构建稳定高效的Anammox脱氮体系提供思路,进而为拓宽Anammox技术实际应用提供了重要的理论依据和技术参考。
作者简介
亚涛,北京化工大学博士在读生。主要研究方向为微生物水处理技术。以第一作者在Water Research发表论文2篇、曾在Frontiers of Environmental Science & Engineering发表论文1篇、在Environmental Pollution(导师一作)发表论文1篇。
王晓慧,现任北京化工大学化学工程学院环境科学与工程系见习教授,北京市水处理环保材料工程技术研究中心副主任,主要从事水污染控制与环境微生物领域的研究,包括过厌氧氨氧化,好氧颗粒污泥等水处理工艺研究,高效功能菌株筛选,基于分子生物学的微生物群落及相互作用。团队承担国家自然科学基金、国家重点研发计划、企业合作课题等10余项。作为通讯联系人或第一作者,曾在环境领域著名期刊Environment Science and Technology、Water Research等学术期刊发表SCI论文60余篇,申请及授权专利10余项。
